华洋科仪
咨询热线:400-901-3696
电容-电压曲线在光伏电池表征中的应用
  • 发布时间 : 2022-02-25 10:52:48
  • 浏览量:6124
  1. 简介
  电容测量广泛用于半导体表征,如光伏(PV)电池。例如,用电容测量来确定掺杂浓度。在EC Lab?和EC Lab?Express软件中,可以直接绘制电容(直接指无需任何后期处理)。电容可通过所有电化学阻抗谱(EIS)技术获得,即电位EIS(PEIS)、电流EIS(GEIS)、阶梯PEIS(SPEIS)、阶梯GEIS(SGEIS),“Wait”技术允许用户跟踪Z的模量与时间的关系(PEISW技术)。

  根据预想的模型电路,计算两种类型的电容,Cs或Cp。电容Cs对应于R+C(串联)电路的电容,Cp对应于R/C(并联)电路的电容(图1)。

  本文演示了如何绘制电容与电压(C-V)曲线。首先,以可变电容器作为实验模型系统,展示了绘制电容的不同选项。讨论了电路模型的选择,并将Z Fit  拟合的电容值与该技术直接可用的电容值进行了比较。其次,描述了光伏电池的典型C-V特性。


  2. 实验条件
  使用配备超低电流选项的SP-200或SP-300和EC Lab?软件进行研究。对于这两个系统(即varia电容器和光伏电池),采用标准的双电极连接进行了研究。
  可变电容器的特性如下所述:
  -低压可变电容双二极管(NXP的BB201)。
  -在0.5至11V的电压范围内,电容在10至120 pF的范围内。
  光伏电池的C-V特性是在一个由150 W氙灯(由ALX-150电源供电的MOS-200光源)照射的电池上进行的。
  3. 可变电容器的研究
  3.1 R/C或R+C等效电路?
  为了在R/C或R+C中选择合适的等效电路,需要在较宽的频率范围(即3 MHz至1 mHz)上进行EIS测量。设置如图2所示。

  IS测量结果为半圆(图3),因此C-V研究考虑R/C模型(Cp变量)。R和C的拟合值分别为70欧姆和145 pF(图4)。

  3.2 C-V研究
  采用了两种SPEIS技术。一个在7 MHz到1 Hz的频率范围内(设置如图5所示),另一个在一个频率下(设置与图5所示类似,fi等于ff)。在323 kHz的频率下进行测量,因为在该频率以上,可变电容器的响应取决于频率(图6)。这些实验分别命名为SPEIS7MHz 1Hz和SPEIS323kHz。电压扫描从0 V开始,以200 mV的步长上升到10 V。

    SPEIS7MHz-1Hz允许用户使用Zfit工具在不同频率下拟合电容值C1(频率选择窗口如图7所示)。图8中的C1与实验中已经计算的Cp值进行了比较。C1和Cp在低电压下的值约为140 pF,在高电压下的值约为20 pF。因此,比较表明,用Zfit计算的C1和直接在EIS技术中确定的Cp是相同的。
  这些值与可变电容器数据表中描述的规格一致。
  此外,SPEIS7MHz-1Hz和SPEIS323kHz分别持续6200秒和150秒。因此,以一个频率执行SPEIS可以节省时间。

  (蓝色-SPEIS323kHz;绿色-SPEIS7MHz-1Hz拟合值;红色-SPEIS7MHz-1Hz)
  4. 光伏电池的C-V曲线
  对于光伏电池特性,电压在3-7.5 V之间扫描,信号频率为100 kHz(图9)。根据以前的研究,考虑了R/C模型。所以绘制了Cp vs V曲线(图10)。

  C-V曲线显示了3个区域:
  -E<4V:累积区
  -4V<E<6V:耗尽区
  -E>6V:反转区
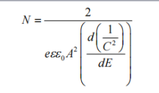
  可通过以下关系确定掺杂浓度N:


  其中e是电子电荷(1.60 x 10-19 C),ε0是半导体介电常数(硅为1.03 x 10-12 F/cm)。A是光伏电池的表面,21 cm2 ,C是电容(F),E是电压(V)。
  由于C~2变量在可用变量列表中也可用(图1),因此也可以绘制C-2与E的关系图。该曲线的斜率引起掺杂浓度。
  在这种情况下,斜率(通过线性拟合确定)为3.53 x 1015 F/V,因此掺杂浓度为1.64 x 1014 cm-3。该值与之前给出的值一致。


  5. 结论
  本文介绍了如何在不进行任何拟合的情况下进行电容测量。这有以下几个优点:
  快速测量,只需一个频率即可确定Cp或Cs。不需要完整的EIS光谱。
  无后处理:无需阻抗拟合过程
  EC-Lab的图形包允许绘制不同类型的图形,如对数间距的C与E、C-2与E,甚至更多…
  可以通过PEISW技术跟踪电容变化,这种技术对传感器应用也很有意义。

沈阳网站建设:大熊科技
友情链接: 友情链接2 友情链接3 友情链接4 友情链接5 友情链接6 友情链接9 友情链接10